[신문 기사] 67만 명 환자 분석, ‘한약’ 간독성 위험 없다 - 이상헌 대한암한의학회 법제이사
페이지 정보
작성자 대한암한의학회 댓글 0건 조회 3,933회 작성일 25-02-05 09:55본문
“67만 명 환자 분석, ‘한약’ 간독성 위험 없다”
심평원 청구데이터 이용 간 손상 여부 분석…위험성 관찰 안 돼
서울대 보건대학원 원성호 교수팀·단국대 이상헌 교수 공동연구
국제학술지 ‘Frontiers in Pharmacology’ 1월호에 연구결과 게재
[한의신문] 한의의료기관에서 처방되는 한약 처방의 약물 유발 간 손상 위험이 매우 미미하다는 것이 대규모 연구결과를 통해 입증됐다.
서울대학교 보건대학원 원성호 교수팀과 단국대학교 이상헌 교수는 2011년부터 2019년까지 건강보험심사평가원의 청구 데이터를 이용해 67만 여명의 환자를 대상으로 한의의료기관을 통한 한약 처방이 약물 유발 간손상(Drug Induced Liver Injury·DILI) 위험에 미치는 영향을 분석한 연구를 진행, 해당 결과를 저명한 국제학술지 ‘Frontiers in Pharmacology’ 1월호에 게재했다.
한약 복용과 관련된 간독성 위험을 평가하고자 진행된 이번 연구는 자가대조환자군 연구(Self-Controlled Case Series·SCCS) 디자인을 적용해 한의의료기관 이용과 한약 처방 및 간독성 발생 간의 연관성을 평가했다.
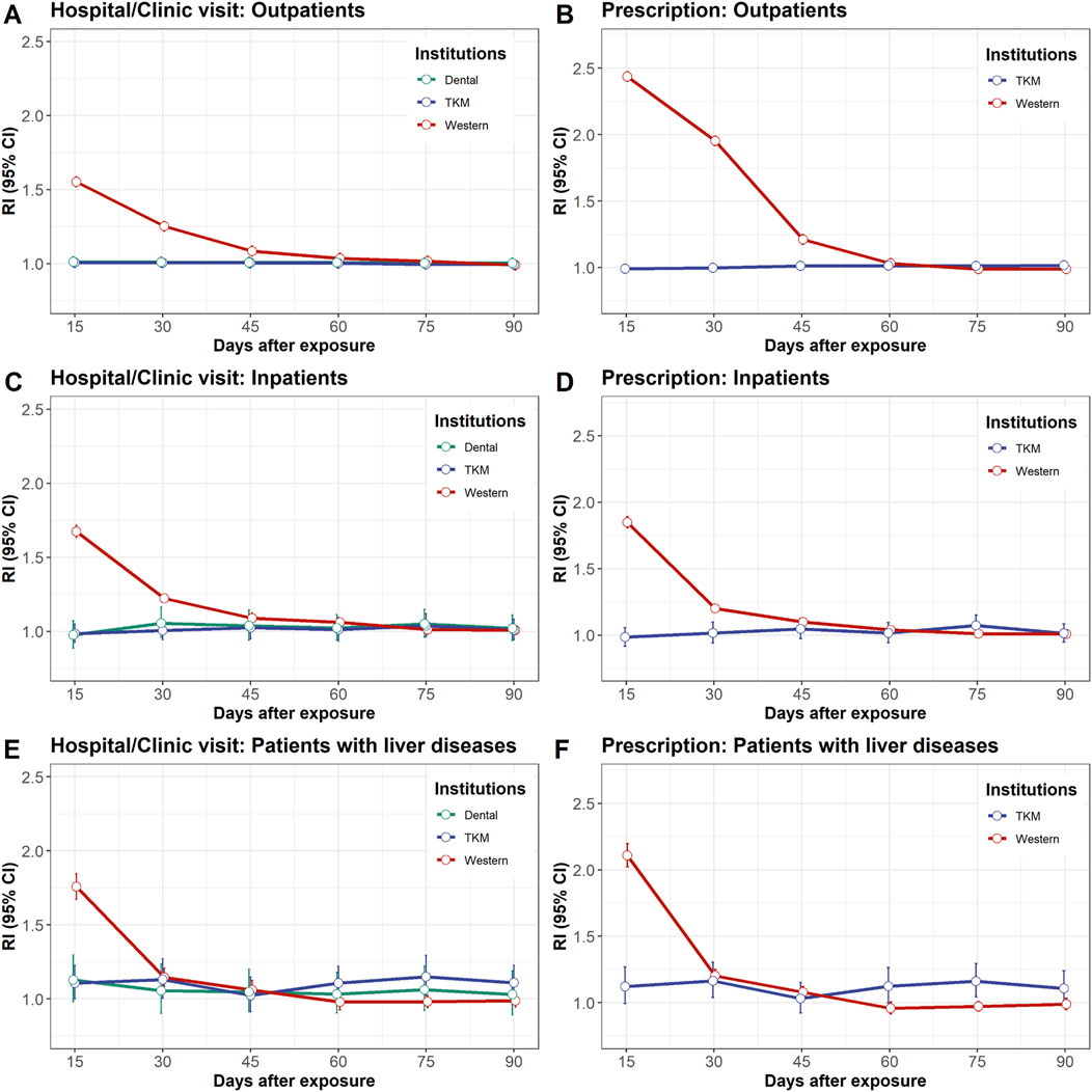
이번 연구에서는 △외래환자군(58만6608명) △입원환자군(8만5803명) △간질환 환자군(6만2877명)으로 나눠 분석했다.
연구 결과에 따르면, 한의의료기관을 방문하거나 한약 처방을 받은 후 3∼15일 이내에 외래환자군과 입원환자군에서 DILI의 위험 증가가 관찰되지 않았다. 이러한 경향은 90일 이내에 DILI 발생 위험이 증가하지 않았으며, 특히 외래환자군에서는 위험도가 1.01(95% 신뢰구간[CI]: 1.00∼1.01)로 거의 변동이 없는 것으로 나타났다.
반면 양방의료기관을 방문하거나 의약품을 처방받은 경우에는 외래환자군·입원환자군·간질환 환자군 모두에서 DILI 발생 위험이 급격히 증가했다. 즉, 이번 연구에 따르면 양방 의료기관을 방문한 후 3∼15일 이내 DILI 발생 상대 위험도가 1.55(95% CI: 1.55∼1.56), 의약품을 처방받은 경우 2.44(95% CI: 2.43∼2.44)로 확인됐다.
또한 상승된 위험도는 16일 후 점차 1.0으로 수렴했고, 이는 시간이 지남에 따라 DILI의 위험이 감소했음을 나타낸다는 설명이다.
외래환자군 또는 입원환자군에서는 한약 처방 후 3∼15일 이내에 DILI의 위험이 증가하지 않았고(RI=0.99 [95% CI: 0.99∼1.00] 및 RI=0.98 [95% CI: 0.92∼1.06]), 간질환 환자군에선 한약 처방 후 16∼30일과 61∼75일에 DILI의 위험이 약간 상승했다(RI=1.16 [95% CI: 1.05∼1.28] 및 RI = 1.16 [95% CI: 1.05∼1.27]).
이와 관련 이상헌 교수는 “이번 연구는 대규모 코호트 데이터를 바탕으로 한의의료기관에서 처방된 한약이 간독성 위험에 미치는 영향을 객관적으로 평가했다는 점에서 의미가 크다”며 “특히 한약이 간손상의 주요 원인이라는 기존 일부 연구 결과와 달리 한의의료기관에서 처방된 한약의 경우 위험이 매우 미미하다는 점을 확인했다”고 강조했다.
다만 연구팀은 기존 간질환이 있는 환자의 경우 한약 처방 후 75일 이내에 DILI 발생 위험이 다소 증가할 수 있는 만큼 한의의료기관에서 환자의 병력을 철저히 확인하는 것이 매우 중요하다고 밝혔다.
한편 이번 연구결과는 “Exploring the Association Between Herbal Medicine Usage and Drug-Induced Liver Injury: Insights from a Nationwide Population-Based Cohort Study Using SCCS in South Korea”라는 제목으로 ‘Frontiers in Pharmacology’에 게재됐다.
관련링크
- 이전글"한의 암치료에 ‘종양미세환경’ 기반한 근본 접근 필요하다" 25.02.20
- 다음글[신문기사] 세계와 함께하는 한의학 연구…글로벌 도약의 시대 도래 - 김봉이 대한암한의학회 총무이사 25.02.05
댓글목록
등록된 댓글이 없습니다.



